qupu520.com首页
|
官方博客
|
手机版
吉他谱
钢琴谱
简谱
资讯
教程
下载
视频
所有格式
图片
GTP
文本
总谱
简谱+和弦
五线谱
随便弹一曲
首 页
吉他谱
GTP吉他谱
钢琴谱
简谱
排行榜
歌手
琴谱分类
您现在的位置:
爱曲谱
>
简谱
>
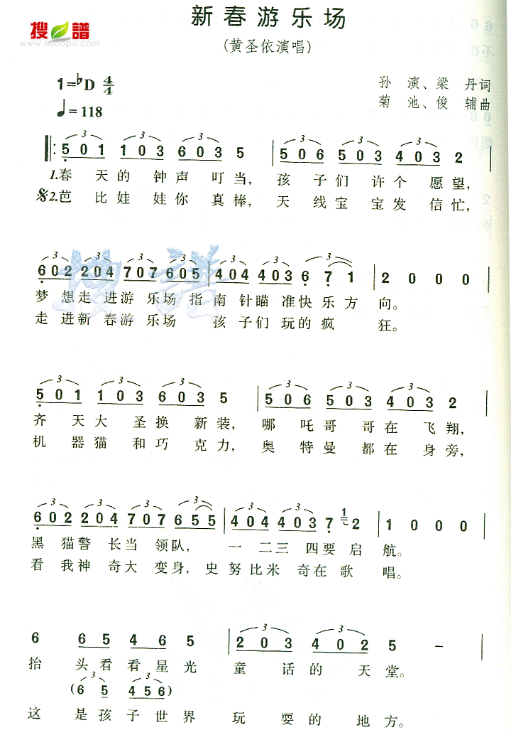
新春游乐场
浏览方式:
竖排
横排2张
横排3张
新春游乐场简谱
原创信息:网络转载 上传者:爱曲谱 格式:图片
分享到:
相关吉他谱:
离别开出花
不如见一面 C调
艾辰 《落》吉他谱 抖音热
不想让你知道
连衣裙吉他谱 C调小琪琴社编配
东北民谣吉他谱 高清弹唱
你的酒馆对我打了烊吉他谱 高清弹唱
爱情条约
开学第一课
喜剧之王吉他谱 高清弹唱
更多>>
毛不易《消愁》吉他弹唱视频演示 悠音吉他课堂
周杰伦《晴天》吉他弹唱教学
【大猫儿吉他教学】电吉他常用几种小七和弦琶音(即兴必练)
一鸣吉他教学 - BEYOND乐队 经典节奏串烧 【曲谱 伴奏】
郭咚咚《月亮》朱丽叶指弹吉他弹唱摇指技巧吉他教学
【牛棚日记】[JTC]Hedras Ramos - 20 Progressive Tapping L
《Despacito》1-7小节指弹吉他演奏独奏吉他教学视频
【大猫儿吉他教学】电吉他小七和弦琶音把位之间怎么连接?
吉他教学;让单调和弦伴奏变得好听有趣的加花技巧
【元子弹】七夕特刊《Earth Angel》Cover 押尾 指弹吉他教学整曲演示
《 如果没有大横按》吉他教学——龙跃学吉他自学笔记
《送别》吉他弹唱教学——小磊吉他教室出品
【吉他教学】超详细《花海》周杰伦-吉他弹唱教学-大树音乐屋-恩雅T10S吉他
五月天台北最终场演唱会 第4集 五月天 伍佰《挪威的森林》吉他弹唱超嗨皮
吉他弹唱《大天蓬》
周杰伦《一路向北》蓝莓吉他弹唱教学
吉他弹唱示范:《再见》(张震岳)——人生多离别,且行且珍惜!
吉他弹唱《难忘今宵》
新春游乐场简谱上传者为网友上传,原创作者为网络转载,歌曲原唱歌手为佚名,本简谱为图片格式,表现形式为,音乐性质为流行金曲。