qupu520.com首页
|
官方博客
|
手机版
吉他谱
钢琴谱
简谱
资讯
教程
下载
视频
所有格式
图片
GTP
文本
总谱
简谱+和弦
五线谱
随便弹一曲
首 页
吉他谱
GTP吉他谱
钢琴谱
简谱
排行榜
歌手
琴谱分类
您现在的位置:
爱曲谱
>
简谱
>
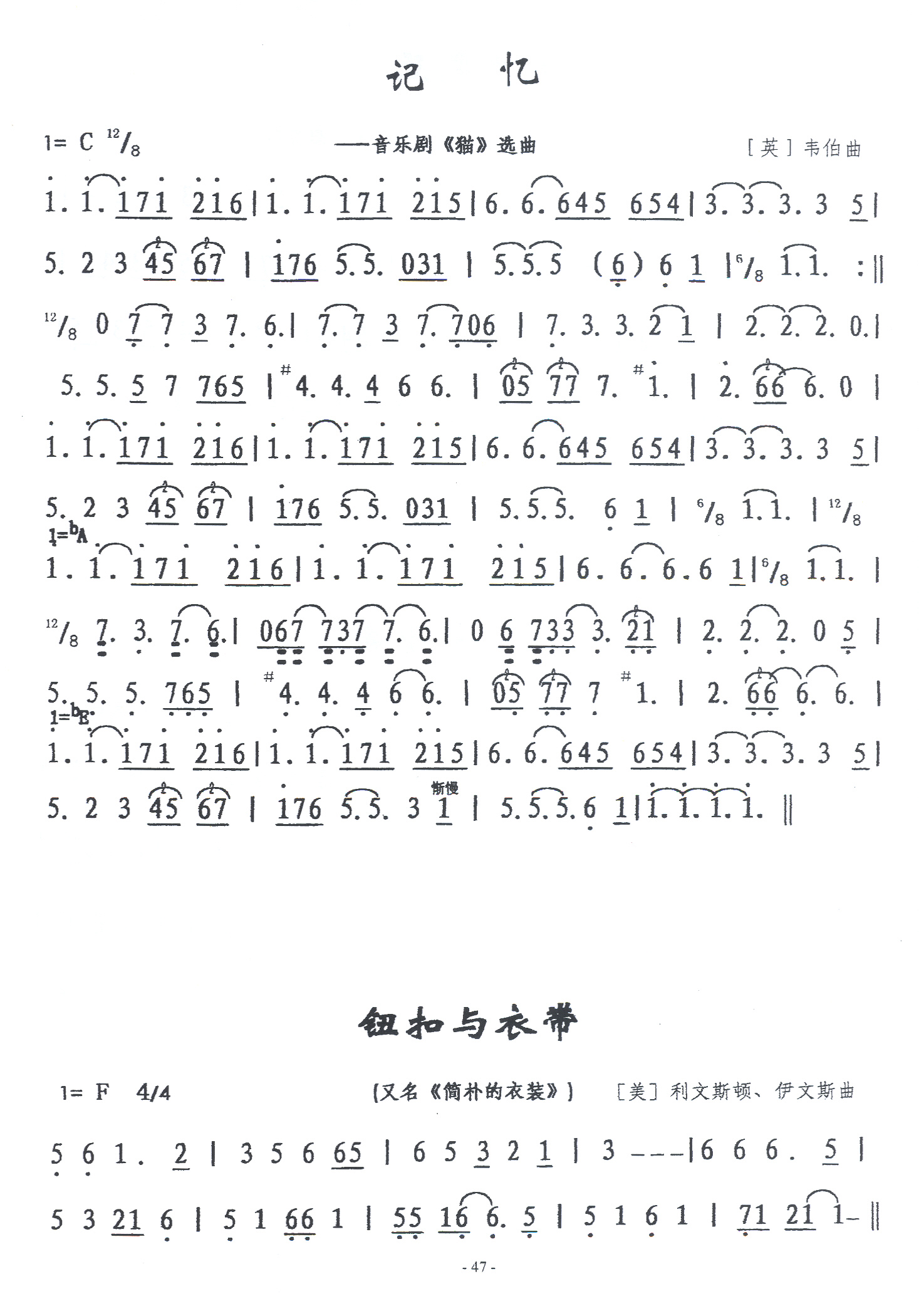
记忆
浏览方式:
竖排
横排2张
横排3张
记忆简谱
原创信息:网络转载 上传者:爱曲谱 格式:图片
分享到:
相关吉他谱:
关于郑州的记忆吉他谱 高清弹唱
独家记忆吉他谱 高清弹唱
独家记忆吉他谱 高清弹唱
关于郑州的记忆吉他谱 G调原版编配
关于郑州的记忆吉他谱 A调高清弹唱谱
独家记忆吉他谱 C调版高清弹唱谱
关于郑州的记忆吉他谱 G调高清弹唱谱
关于郑州的记忆吉他谱 高清弹唱谱
关于郑州的记忆吉他谱 G调高清弹唱谱(酷音小伟弹唱教学)
爱在记忆中找你吉他谱 C调高清弹唱谱
更多>>
黄贯中台上吉他弹唱《灰色轨迹》, 熟悉的旋律, 勾起无数人记忆
李志吉他弹唱《关于郑州的记忆》, 唱到最后红了眼眶
实力吉他弹唱 关于郑州的记忆 果木浪子 姜兴琦
吉他里里弹唱教学【 独家记忆 前奏】
关于西安的记忆 吉他弹唱 翻唱李志木吉他的故事
美女教师马金梅吉他弹唱 寻找青春记忆
毛不易《消愁》吉他弹唱视频演示 悠音吉他课堂
周杰伦《晴天》吉他弹唱教学
【大猫儿吉他教学】电吉他常用几种小七和弦琶音(即兴必练)
一鸣吉他教学 - BEYOND乐队 经典节奏串烧 【曲谱 伴奏】
郭咚咚《月亮》朱丽叶指弹吉他弹唱摇指技巧吉他教学
【牛棚日记】[JTC]Hedras Ramos - 20 Progressive Tapping L
《Despacito》1-7小节指弹吉他演奏独奏吉他教学视频
【大猫儿吉他教学】电吉他小七和弦琶音把位之间怎么连接?
吉他教学;让单调和弦伴奏变得好听有趣的加花技巧
【元子弹】七夕特刊《Earth Angel》Cover 押尾 指弹吉他教学整曲演示
《 如果没有大横按》吉他教学——龙跃学吉他自学笔记
《送别》吉他弹唱教学——小磊吉他教室出品
记忆简谱上传者为网友上传,原创作者为网络转载,歌曲原唱歌手为佚名,本简谱为图片格式,表现形式为,音乐性质为流行金曲。